FAQ
Here you can find answers to the most frequently asked questions (FAQ) about Irriworks and its products
Types of Licenses
What is the difference between the 12 month subscription and the Lifetime subscription?
After 12 months the subscription license will expire and will therefore no longer be usable until the subscription is renewed. In the case of a Lifetime license, after the same period of time the software will continue to function, however, without receiving further updates which will become available again (for a further 12 months) by purchasing update licenses.
I'm a student, is there a version for me?
Yes, the Educational license. In this case, the student will have to prove attendance at a institution/department/school with documentation. More information HERE
I am a teacher, can I provide my students with the software?
Yes, the Educational license at advantageous conditions. Further benefits in the event that the institute/department/school decides to stipulate an agreement with Irriworks. More information HERE
Buy License
Once I have purchased the license, how will I receive and use the software?
Once the purchase has been made, you will receive (within a few minutes) an email with the serial code and the link from which to download the installer file. After installing the application on one’s pc, the serial code can be entered to perform activation: after rebooting, the application will be ready to use. More information on the activation procedure click HERE.
How/where can I purchase software licenses?
Through the e-commerce platform of our site (payment by credit / debit cards, with third-party services (Paypal), by bank transfer) or through authorized resellers. Finally, during the sector fairs where Irriworks will be present and where you can make the purchase directly at its stand.
I purchased a license for a smaller plant size than I need. Can I upgrade to a license for larger facilities? At what cost?
Yes, it is possible. To get the new license you only need to pay the difference (for licenses used a few months). In other cases, time of use will also be considered.
Is the software available only under a perpetual (Lifetime) license?
Not only that, a 12-month subscription license is also available.
Installation
In what operating systems can I install the software?
On Windows systems (starting with Windows 7) and MAC OS
How to install the software on the pc and use the purchased license?
Once the license is purchased, an email will be sent with a serial code and a link from which to download the executable file. Install the file and then perform the activation procedure using the serial code. To get more information about activation HERE
How do I install the software on a MAC computer?
Follow the following steps for installation:
- Open the dmg file downloaded from our site
- A window will be shown that has two icons: one related to the software and the other to the “Application” folder
- Drag the icon of Software over the “Application” icon (keeping the icon of Software clicked until it is moved over the right icon)
- Double-click on the Software icon in the folder that contains the applications
- The software should start correctly.
What technical features must the pc have to install and use the software?
As software requirements, the application can be installed on 32-bit (executable on demand) and 64-bit operating systems, from MS Windows 7 up to MS Windows 11. For Apple operating systems it can be installed up to macOS 12 (Monterey or later).
As minimum hardware requirements the pc must have:
- Intel® i3
- 4 Gb RAM or more
- hard disk
- 1,024 x 768 VGA display
The recommended hardware configuration is as follows:
- Intel® i7 last version (or i9)
- 16 Gb RAM (or 32 Gb)
- SSD disk (or M2.SSD)
- Monitor Full HD
In how many languages is the software available?
Currently in Italian, English, Spanish, Portuguese, German, Russian, Ukrainian and Romanian.
Is it possible to install an earlier version than the latest available?
Yes, you need to go to your account and in the menu look for the “previous versions” item.
How many times can I activate a license?
You can install a single license on (at most) 3 PCs of the same user, but with a single license, you cannot use the license on two PCs at the same time. In other words, you can install and activate Software on a desktop at home, in the office, and on a laptop (up to 3 PCs). If you activate more than 3 times with the same license it will be blocked by our servers. If you need to install the software on more than 3 PCs we suggest purchasing multiple licenses.
Demo version of the software
How can I test the software before I buy it?
It is possible to request a demonstration session free of charge and with no commitment to purchase. Once requested (by filling out the form for IrriPro HERE or for IrriRT HERE ), a date and time for the session will be proposed and a demo license will be sent. A different date may be arranged according to one’s needs and the operator’s availability.
What does the demonstration session consist of?
During the demonstration session, some example projects will be offered (by Irriworks) directly on your PC using remote assistance software (such as TeamViewer). The duration of the service is between 20 minutes and 1 hour. Training languages: English or Italian.
How can I learn more about the software and its functionality?
Demonstration videos, tutorials, and product sheets are available
Training
How can I get training on the software? How can I learn to use the software well?
Training is included with each license. You just need to request it on this page or by sending a request to info@irriworks.com and agree with the operator on a date and time based on your availability.
What does the training consist of?
During the training, the operator will support the user in several example projects directly on their PC using remote assistance software (such as Teamviewer). The service generally lasts 2 hours. Languages: English or Italian. The session may be repeated for in-depth needs or replaced by a question/answer session.
How long does it take to learn how to use the software?
We strongly recommend taking the training session, it is the first approach and the best way to learn about the software product. After this experience (of about 2 hours), watching the available videos, and any requests for further assistance, it takes only a few weeks to achieve full mastery of the software.
Updates
How do I receive updates?
The software checks at each startup for updates. If available, a warning window will be shown through which the user can confirm the installation of the update. Once completed, the software will be restarted.
Until when can I receive updates?
Updates will be available for the Lifetime license for 12 months. After this period it will be possible to purchase a further 12 months of updates (click for IrriPro HERE and for IrriRT HERE to purchase a new update license).
In the case of subscription licensing, updates will be available for the duration of the subscription.
What do the updates consist of?
Software upgrades (either those available in the first 12 months or purchased with new licenses) may include new features, bug fixes, and new catalogs (or updates to existing catalogs) of irrigation equipment.
Can I add new items to the software database?
Yes, you can add dispensers, drip wings, fittings, filters and any elements you want and use them in your projects.
Can I move the database with the items added in the software from one PC and another?
Yes, you need to copy the folder called “irripro_db” from:
FOR WINDOWS: C:\Documents and Settings\Name_User\irripro_db
or
FOR MAC:<user home>/irripro_db
and paste it (replacing the existing folder) into the same location within the new PC.
How do I insert new items into the database?
A dedicated window for each product type will guide the entry of one item at a time. A different procedure (through a spreadsheet) is planned for a large number of items and will be indicated upon request. Write to info@irriworks.com to request more information.
Accounting
In case of purchase will I receive a receipt or invoice?
An invoice will always be issued with the header reported during the purchase process. A courtesy invoice will be sent via e-mail and the electronic invoice will be transmitted to the SDI system (Agenzia delle Entrate Italia). In any case, the invoice will be available in the recipient’s tax drawer.
Can I purchase a software license as an individual and without having a VAT number?
Yes of course, but the price will include VAT (to be paid in Italy in the case of a resident of an EU area nation).
Commercial
Are there any discounts for purchasing the software?
Yes, at certain times and under particular conditions. Ask for more information by contacting us at info@irriworks.com
I am a reseller, how can I purchase software licenses?
Irriworks already has a network of dealers and distributors. For information on resale terms, contact us at info@irriworks.com
I am a reseller/representative/dealer, can I resell Irriworks software licenses?
Yes, contact us to learn about the business conditions
I am a company and want to customize software to distribute to my customers, is it possible?
Yes, it is possible. For a complete overview of software customization specifications contact us at info@irriworks.com
How do I request reimbursement for the software purchase?
For information about the refund policy click HERE.
Scientific and Technical Aspects
What are the operational limitations of the software?
The software allows drawing and calculating systems with more than 5,000,000 nodes (number of dispenser devices and fittings). This value may change depending on the computing power of the computer
What coefficients of uniformity are calculated by the software?
The software calculates two types of uniformity coefficients:

(Wu et Al. [1979])
Where Qi is the flow rate of a single spout, Qm is the average value and N is the number of spouts.
- UCC = 100 the uniformity of the plant is excellent
- UCC < 90 plant uniformity is not acceptable
(Karmeli and Keller [1975])
Where CVT is the coefficient of technological variation, Qmin the minimum flow rate in a dispenser and Qm the average flow rate.
- CU = 100 the uniformity of the plant is excellent
- 94 < CU < 100 plant uniformity is good
- 90 < CU < 94 plant uniformity is acceptable
- CU < 90 plant uniformity is not acceptable
How is plant efficiency calculated?
Efficiency is defined by the following formula: Ei = qmin⁄qmed * 100*A (where A is an internal, very complicated to explain factor that also depends on uniformity). Theoretical value where qmin is the minimum flow rate and qmed is the average value. The maximum efficiency value in a drip system is 87%, in a sprinkler system it is 75%. The lower the value, the lower the efficiency. The wasted volume is zero if the efficiency is 100% (only theoretical, you will always have a wasted volume > 0)
What is the thematic map? What information can I evaluate?
The most restrictive criterion in hydraulic calculation is the thematic map. The range of acceptability is -10% < average or nominal pressure < +10%, so the yellow colored area is still to be considered acceptable. A plant showing a thematic map without the red color demonstrates a higher uniformity value than that expressed by the uniformity coefficient > 90%.
What is discretization?
Discretization refers to the grouping of multiple spouts at one point to speed up hydraulic design and calculation. For example, with very high discretization the software will group 12 dispensers into 1 dispenser having 12 times the flow rate of the single dispenser. With this type of discretization in the bill of materials there may be a 2-5% difference in the length of the side pipes compared to the non-discretized case.
How to enter slopes and elevations manually?
The “elevation point” or “contour line” commands are used to create the 3D terrain model. At least 4 points must be entered for processing, but this number may increase depending on the extent of the plot area. It is recommended to draw the boundaries of the areas before using the command. Once the input is finished, press the ESC key and the software will show the processed contour lines and present the third Z coordinate (shown by scrolling with the mouse over the work area). The “elevation point” and/or “contour lines” can be imported and interpreted from the CAD files containing them. “Recalculate quotas” is useful for performing a refresh or update of quotas.
How reliable is the survey with Google Earth/Maps within Software?
Depending on the area surveyed with Google’s service, the accuracy of the elevation data varies from 3 arc-seconds (1 point surveyed every 90 meters) to 1/3 arc-second (1 point surveyed every 10 meters), up to 1/9 arc-second in U.S. and many urban areas (1 point surveyed every 3 meters). The processing, both elevation and planimetric, returned in Software is equivalent to a 1:5,000 map (as error on elevation), and Google’s service is getting better every day. Recall that Google’s GIS service is already successfully used by engineering and surveying programs.
Can contour lines, once drawn, be edited?
You cannot edit or partially delete contour lines (once imported and interpolated into the workspace) because they constitute the 3D terrain relief. It is possible to delete or replace the survey (with new contour lines) by making a new survey from the Google Maps console or by importing a CAD file with different contour lines. It is also possible to use the UNDO and REDO commands to return to an earlier or later condition.
How are local losses of a emitteer calculated?
In-line emitter (dripper)

Where:
delta = Coefficient of local losses
Dci = inner diameter of the tube
Dgi = Inner diameter of the nozzle
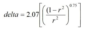
Online dispenser

Where:
delta = Coefficient of local losses
r = Ar/A throttling ratio
Ar = Reduced area at the dispenser
A = Area of the tube
In the case of sprinkler delta = 0
How is the value of the maximum pressure drop calculated?
As the sum of the pressure drop between the source and the farthest spout
How is the value of volume lost in an hour calculated?
The volume actually used in one hour minus the volume used under ideal efficiency conditions
Support and Service Request
How do I request support?
Support can be requested by sending an e-mail to info@irriworks.com. In the request indicate the details of the problem, your serial number, and any screenshots.
What kind of information can be useful in describing a problem to assistance?
The following information:
- The path/sequence of actions that caused the problem
- One or more screenshots showing the unexpected behavior
- (required by support) the LOG folder of the software
The more detailed this information, the quicker it will be to address the problem.
What kind of support will I receive once I purchase the software license?
In addition to the availability of video guides and tutorials, the customer can receive, included in the license, dedicated operator training and support for 12 months. Support can be extended for an additional 12 months with the purchase of the upgrade license.
Where can I find the LOG folder of the software?
For WINDOWS: C:\Documents and Settings\Name_User\”software_name”\logs
For MAC:< user home> /”software_name”/logs
The folder must be compressed before being sent
I cannot activate the software with the activation code. What can I do?
First, to perform activation, the PC must be connected to the Internet and the software must not be blocked by a firewall. In addition, if the PC is within a corporate or private network with Proxy, the Proxy feature must be configured within the software. If these solutions did not bring any results contact support.
Google Maps console and surveying don't seem to be working, what is the reason? How do I solve the problem?
Write to info@irriworks.com describing what happens. We will send you a procedure to identify and address the problem. Built into our applications is technology that depends on Google’s service, which may change requirements, terms of use, or present temporary disruptions. Irriworks is not responsible for any changes or disruptions.
After importing a KMZ/KML file, I do not find in the software's workspace the terrain/boundary edges or lines that were drawn with Google Earth.
Solution: draw objects/shapes in Google Earth with the PATH function (Add>Path) not as Polygon, Model or other types of objects.
Is it possible to change the color of the pipelines shown on the software?
Yes, it is possible. Contact us at info@irriworks.com to receive an email with all the instructions
Is it necessary to run the software with administrator rights?
Yes, it is necessary for the software to work properly.
When try to install the software on MAC the message "the software cannot be opened because the developer cannot be verified" appeared. How do I proceed?
There are 2 methods to solve this problem.
A. Bypassing your security settings and allowing the app to be installed and opened:
- Open Finder .
- Locate the app you’re trying to open.
- Control + click on the app.
- Select Open .
- Click Open .
- The app should be saved as an exception in your security settings, allowing you to open it in the future.
B. Bypass the block in Security & Privacy settings. If the above method didn’t work, you can go to the Security & Privacy settings and do it manually.
-
- Open the Apple menu and click System Preferences .
- Click Security & Privacy .
- Click the General tab .
- Click the lock in the lower right corner of the window.
- When prompted, enter your username and password and click Unlock .
- Click the App Store and Identified Developers radial button.
- Look for “(App name) was blocked from opening because it is not from an identified developer” and click Open anyway . (In previous versions of macOS, you could click Anywhere and then click Allow from anywhere .)
- Try running the app again.
What characteristics does the CAD file need to have in order to be imported?
- File with DXF extension that must be ASCII (ASCII 2013 recommended)
- Drawing units in meters
- Contour lines must have the Z coordinate different from zero
- Land and sector boundaries must be closed polygons/polylines
It is recommended to hide layers that you do not intend to import into the workspace. Explode any closed objects that do not appear after import. We recommend the following service to convert DWG files to DXF files: https://cloudconvert.com/dwg-to-dxf
